[Show all top banners]

maafia
Replies to this thread:

More by maafia
What people are reading
Subscribers
:: Subscribe
Back to: Kurakani General Refresh page to view new replies
 Muktak
[VIEWED 6203 TIMES]
SAVE! for ease of future access.
Posted on 05-12-05 10:48 AM     Reply [Subscribe]
Login in to Rate this Post:     0       ?    
 
 
Posted on 05-12-05 11:22 AM     Reply [Subscribe]
Login in to Rate this Post:     0       ?    
 

Mathematician in Love !


1
----------------------------------------------------
Let "x" = beauty, "y" = manners well-bred,
let "z" = fortune (this is obligatory).
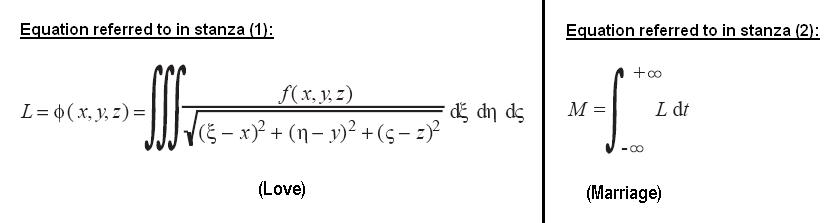
Let "L" = love, then our philosopher said,
L is a function of x, y, and z-
Of the kind which is known as Potential !

2
----------------------------------------------------
Now integrate L with respect to dt,
("t" standing for time and persuation).
Then between proper limits, its easy to see,
the definite integral "Marriage" must be-
A very consise Demonstration !

3
-----------------------------------------------------
Said he- if the wandering course of the moon,
by Algebra can be predicted.
The female affections must yield to it soon,
but the lady ran off with a dashing dragoon-
And left him amazed and afflicted !

Note:- The mathematical expressions of "love" and "marriage" please refer below.

maafia



 
Posted on 05-12-05 8:58 PM     Reply [Subscribe]
Login in to Rate this Post:     0       ?    
 

Love ko Mathmatics,
केटोले कुरो त ल्याको हो।
 
Posted on 05-13-05 1:31 AM     Reply [Subscribe]
Login in to Rate this Post:     0       ?    
 

म त हिसाबमा कमजोर, प्रेम र बिहेको हिसाब त ठ्याम्मै बुझिन हो!!!!!
 
Posted on 05-13-05 7:50 AM     Reply [Subscribe]
Login in to Rate this Post:     0       ?    
 

Hisab nabujhe 'nasha' ta kaso nabujhiyela?

 
Posted on 05-13-05 7:55 AM     Reply [Subscribe]
Login in to Rate this Post:     0       ?    
 

Wah wah.... Addab arjj hein bhanya jasto bho.

But I could not get that equation. Kalo achar bhais bara baar.
Better still, Gaanit = Gool aka SUNNA.

"Thukrawooo ke muje pyaaar karoooo, Mein nashe mein huuu
Jo chahe mere yaara karooo mein nashe mein huuu."

Yeh dil Mange more.

IndisGuise:)


 
Posted on 05-13-05 8:13 AM     Reply [Subscribe]
Login in to Rate this Post:     0       ?    
 

?झरेको फुल हौ तीमी
पबित्र मन्?दिरमा चढाउने कोसिस नगर
अरिन्?गालले चुसेको रस हौ तिमी
निर्?दोस माहुरी लाइ झुक्?काउने कोशिष नगर

 
Posted on 05-13-05 8:18 AM     Reply [Subscribe]
Login in to Rate this Post:     0       ?    
 

No offence to anyone, it is just a MUKTAK
 


Please Log in! to be able to reply! If you don't have a login, please register here.

YOU CAN ALSO



IN ORDER TO POST!




Within last 365 days
Recommended Popular Threads Controvertial Threads
ANA and AJAY KUMAR DEV. RAPISTS CONVENTION
TPS Re-registration case still pending ..
ChatSansar.com Naya Nepal Chat
सालीको चाक
Conservative discussions
Looking for girl
tesla stock OMG !!
TPS for Nepal likely to extend next week
Who is hottest nepali female?
TPS To F-1 COS
I hope all the fake Nepali refugee get deported
Nepal TPS has been Extended !!!
Got my F1 reinstatement approved within 3 months(was out of F1 for almost 2 years)
Those who are in TPS, what’s your backup plan?
Homeland Security revokes temporary status for 532,000 Cubans, Haitians, Nicaraguans and Venezuelans
Venezuela TPS lawuit
Embassy of Nepal might be able to help extend TPS for Nepal
Has anyone here successfully reinstated to F-1 status after a year-long gap following a drop from F-1?
US citizen Petitioning my wife who was out of status when she was in H1B. What to do ?
interesting fact about sajha.
Looking for girl
Who is hottest nepali female?
NOTE: The opinions here represent the opinions of the individual posters, and not of Sajha.com. It is not possible for sajha.com to monitor all the postings, since sajha.com merely seeks to provide a cyber location for discussing ideas and concerns related to Nepal and the Nepalis. Please send an email to admin@sajha.com using a valid email address if you want any posting to be considered for deletion. Your request will be handled on a one to one basis. Sajha.com is a service please don't abuse it. - Thanks.

Sajha.com Privacy Policy

Like us in Facebook!

↑ Back to Top
free counters